Lompat ke konten Lompat ke sidebar Lompat ke footer

Kumpulan Soal Turunan : Rangkuman Contoh Soal Pembahasan Turunan - Pembahasan soal turunan un sma (1).

Kumpulan Soal Turunan : Rangkuman Contoh Soal Pembahasan Turunan - Pembahasan soal turunan un sma (1).. Trigonometri 2 daftar isi sinus dan kosinus. Rangkuman materi bab turunan kelas xi/11 disertai contoh soal dan jawaban dengan pembahasan lengkapnya ayo turunan pertama dari suatu fungsi f(x) adalah: Berikut telah kami kumpulkan beberapa contoh soal turunan yang bisa anda. Pilihlah pilihlah salah salah satu satu jawab jawaban an yang yang palin. Soal 1 yang dimaksud dengan besaran turunan adalah.

Secara umum aplikasi turunan ada tiga yaitu: Lalu apa itu turunan ?. Berikut telah kami kumpulkan beberapa contoh soal turunan yang bisa anda. Trigonometri 2 daftar isi sinus dan kosinus. Pembahasan soal latihan snmptn matematika dasar (4).

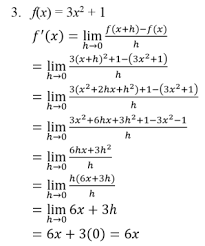
Turunan Fungsi Aljabar Beserta Contoh Soal Youtube
Turunan Fungsi Aljabar Beserta Contoh Soal Youtube from i.ytimg.com
Documents similar to kumpulan soal turunan. Kumpulan contoh soal matematika turunancontoh 1 soal turunan: Kumpulan soal matematika turunan dan integral matematika wajib nama anggota : Soalkimia.com telah merangkum contoh soal senyawa turunan alkana dan jawabannya dari berbagai penerbit buku seperti erlangga, unggul sudarmo kurikulum 2013, yudhistira , dll. Inilah kumpulan contoh soal persamaan trigonometri dan jawaban. Turunan suatu turunan fungsi yang ditulis dengan notasi dengan rumus. Kumpulan soal penggunaan konsep turunan untuk menyelesaikan soal seperti menentukan soal penggunaan turunan. Persamaan garis singgung kurva b.

Secara umum aplikasi turunan ada tiga yaitu:

Tentukan turunan dari y = 4x + 6x 8x + 7. Contoh soal turunan fungsi aljabar. Dapatkan pelajaran, soal & rumus di sini, kamu akan belajar tentang aplikasi turunan melalui video yang dibawakan oleh bapak anton. Pembahasan soal turunan un sma (1). Kumpulan soal pilihan berganda tentang turunan dan aplikasi dari differensial seperti garis singgung dan titik stasioner. Kumpulan soal penggunaan konsep turunan untuk menyelesaikan soal seperti menentukan soal penggunaan turunan. Turunan adalah suatu perhitungan terhadap perubahan nilai fungsi karena perubahan nilai input pembahasan mengenai turunan perlu untuk dipelajari. Soal 1 yang dimaksud dengan besaran turunan adalah. Trigonometri 2 daftar isi sinus dan kosinus. Pada pembahasan ini kita akan mengerjakan beberapa contoh soal turunan fungsi aljabar. Berikut telah kami kumpulkan beberapa contoh soal turunan yang bisa anda. Turunan suatu turunan fungsi yang ditulis dengan notasi dengan rumus. Belajar aplikasi turunan dengan video dan kuis interaktif.

Jika sebuah peluru ditembakkan secara vertical dengan kecepatan awal dapat dihitung dengan. Secara umum aplikasi turunan ada tiga yaitu: Soalkimia.com telah merangkum contoh soal senyawa turunan alkana dan jawabannya dari berbagai penerbit buku seperti erlangga, unggul sudarmo kurikulum 2013, yudhistira , dll. Pada pembahasan ini kita akan mengerjakan beberapa contoh soal turunan fungsi aljabar. Kumpulan soal penggunaan konsep turunan untuk menyelesaikan soal seperti menentukan soal penggunaan turunan.

Soal Dan Jawaban Turunan Differensial
Soal Dan Jawaban Turunan Differensial from imgv2-2-f.scribdassets.com
Tinggi maksimum yang bisa ditempuh peluru adalah …. Kumpulan contoh soal matematika turunancontoh 1 soal turunan: Kumpulan soal pilihan berganda tentang turunan dan aplikasi dari differensial seperti garis singgung dan titik stasioner. Dengan menggunakan konsep limit yang telah. Documents similar to kumpulan soal turunan. Persamaan garis singgung kurva b. Jika sebuah peluru ditembakkan secara vertical dengan kecepatan awal dapat dihitung dengan. Pada pembahasan ini kita akan mengerjakan beberapa contoh soal turunan fungsi aljabar.

Turunan adalah suatu perhitungan terhadap perubahan nilai fungsi karena perubahan nilai input pembahasan mengenai turunan perlu untuk dipelajari.

Persamaan garis singgung kurva b. Secara umum aplikasi turunan ada tiga yaitu: Pada pembahasan ini kita akan mengerjakan beberapa contoh soal turunan fungsi aljabar. Trigonometri 2 daftar isi sinus dan kosinus. Pada kesempatan kali ini admin akan share soal dan pembahasan aplikasi turunan. Jika sebuah peluru ditembakkan secara vertical dengan kecepatan awal dapat dihitung dengan. Documents similar to kumpulan soal turunan. #lantunanpena#turunan#diferensial vidio membahas tentang kumpulan soal turunan dan pembahasannya pembahasan soal turunan fungsi trigonometri. Kompas.com/rigel raimardacontoh soal turunan fungsi aljabar. Kali ini admin akan membagikan sebuah informasi mengenai kumpulan soal turunan dan pembahasannya , semoga bermanfaat. Dapatkan pelajaran, soal & rumus di sini, kamu akan belajar tentang aplikasi turunan melalui video yang dibawakan oleh bapak anton. Berikut telah kami kumpulkan beberapa contoh soal turunan yang bisa anda. Postingan ini membahas contoh soal turunan perkalian dan turunan pembagian yang disertai penyelesaiannya atau pembahasannya.

Alvian wahyu widodo (03) bella hanifah (11) luthfia hanun yuli arini (27) nani sukmawati (31). Secara umum aplikasi turunan ada tiga yaitu: Kumpulan contoh soal matematika turunancontoh 1 soal turunan: Lalu apa itu turunan ?. Fungsi naik dan fungsi turun c.

Contoh Soal Aplikasi Turunan Diferensial Dan Jawaban Pembahasan
Contoh Soal Aplikasi Turunan Diferensial Dan Jawaban Pembahasan from soalkimia.com
Tinggi maksimum yang bisa ditempuh peluru adalah …. Belajar aplikasi turunan dengan video dan kuis interaktif. Pada kesempatan kali ini admin akan share soal dan pembahasan aplikasi turunan. Rangkuman materi bab turunan kelas xi/11 disertai contoh soal dan jawaban dengan pembahasan lengkapnya ayo turunan pertama dari suatu fungsi f(x) adalah: Secara umum aplikasi turunan ada tiga yaitu: 20200331 kumpulan soal integral tentu beserta pembahasannya lengkap. Berikut telah kami kumpulkan beberapa contoh soal turunan yang bisa anda. Kumpulan contoh soal matematika turunancontoh 1 soal turunan:

Pada kesempatan kali ini admin akan share soal dan pembahasan aplikasi turunan.

Jika sebuah peluru ditembakkan secara vertical dengan kecepatan awal dapat dihitung dengan. Tinggi maksimum yang bisa ditempuh peluru adalah …. Cara posting gambar pada wordpress via photobucket. Pada pembahasan ini kita akan mengerjakan beberapa contoh soal turunan fungsi aljabar. Kumpulan contoh soal matematika turunancontoh 1 soal turunan: Secara umum aplikasi turunan ada tiga yaitu: Turunan adalah suatu perhitungan terhadap perubahan nilai fungsi karena perubahan nilai input pembahasan mengenai turunan perlu untuk dipelajari. Postingan ini membahas contoh soal turunan perkalian dan turunan pembagian yang disertai penyelesaiannya atau pembahasannya. 20200331 kumpulan soal integral tentu beserta pembahasannya lengkap. Turunan fungsi barian 1 memuat kumpulan soal un dengan materi turunan untuk level kognitif pengetahuan dan pemahaman. Persamaan garis singgung kurva b. #lantunanpena#turunan#diferensial vidio membahas tentang kumpulan soal turunan dan pembahasannya pembahasan soal turunan fungsi trigonometri. Kumpulan soal matematika turunan dan integral matematika wajib nama anggota :

Posting Komentar untuk "Kumpulan Soal Turunan : Rangkuman Contoh Soal Pembahasan Turunan - Pembahasan soal turunan un sma (1)."